Nhấn mạnh
• Chấn thương tủy sống (TSCI) có liên quan đến tỷ lệ mắc cao hơn về huyết áp cao, lipid máu cao, bệnh động mạch vành, đột quỵ thiếu máu não, tiểu đường và một loạt các chẩn đoán thần kinh và tâm thần so với nhóm đối chứng không bị thương.
• Nguy cơ tăng lên được quan sát ở tất cả các nhóm tuổi, bao gồm người trẻ (18–45 tuổi); một số tình trạng sau chấn thương—huyết áp cao, rối loạn chức năng tuyến yên và tuyến thượng thận, trầm cảm, lạm dụng chất, cơn động kinh và sa sút trí tuệ—độc lập liên quan đến tỷ lệ tử vong do mọi nguyên nhân cao hơn.
Bối cảnh: nhu cầu chưa được đáp ứng
Chấn thương tủy sống (TSCI) gây ra những tổn thương thần kinh cấp tính đòi hỏi sự chăm sóc phẫu thuật, y tế và phục hồi chức năng ngay lập tức. Tuy nhiên, người sống sót ngày càng sống hàng thập kỷ sau chấn thương; hậu quả đa hệ thống dài hạn và đóng góp của chúng vào bệnh lý sớm và tỷ lệ tử vong chưa được xác định rõ ràng. Lịch sử nghiên cứu đã nhấn mạnh các biến chứng hô hấp, vết loét áp lực, biến chứng niệu đạo và kết quả chức năng, trong khi các di chứng mãn tính về tim mạch, chuyển hóa, nội tiết, thần kinh và tâm thần ít được nghiên cứu một cách có hệ thống. Hiểu rõ những rủi ro này là cần thiết để thiết kế các chương trình giám sát, phòng ngừa có mục tiêu và chăm sóc mãn tính tích hợp cho nhóm dân số có nguy cơ cao này.
Thiết kế nghiên cứu và phương pháp
Mashlah và cộng sự đã thực hiện phân tích nhóm đối chứng hồi cứu sử dụng dữ liệu y tế điện tử (EHR) dài hạn từ hai cơ sở dữ liệu lớn: Mass General Brigham (MGB; tháng 1 năm 1996–tháng 1 năm 2024) và Hệ thống Y tế Đại học California (UC; cùng khoảng thời gian). Các cá nhân có chẩn đoán tiền sử của các bệnh đồng mắc được nghiên cứu đã bị loại trừ để tập trung vào bệnh mới phát sau TSCI. Mỗi trường hợp TSCI được ghép 3:1 với các đối chứng không bị thương theo độ tuổi, giới tính và chủng tộc. Phơi nhiễm chính là TSCI; kết quả chính là các tình trạng tim mạch, nội tiết, thần kinh và tâm thần mới phát được xác định bằng mã ICD-9/ICD-10. Các mối liên quan được ước tính bằng mô hình nguy cơ tỷ lệ tỷ lệ Cox đa biến cho tỷ lệ mắc mới và hồi quy logistic cho mối liên quan với tỷ lệ tử vong do mọi nguyên nhân. Dữ liệu được phân tích từ tháng 9–tháng 12 năm 2024.
Kết quả chính
Nghiên cứu bao gồm 1038 bệnh nhân TSCI (hệ MGB; tuổi trung bình 44 tuổi, 58% nam) được ghép với 3114 đối chứng, và một nhóm đối chứng ngoại vi UC bao gồm 1711 trường hợp TSCI (tuổi trung bình 45 tuổi, 65% nam) được ghép với 5133 đối chứng.
Kết quả tim mạch và chuyển hóa
So với nhóm đối chứng được ghép, những người có TSCI có nguy cơ mắc các bệnh tim mạch và chuyển hóa chính dài hạn cao hơn đáng kể trong phân tích tổng hợp:
- Huyết áp cao: HR 1.6 (95% CI, 1.3–1.9)
- Lipid máu cao: HR 1.5 (95% CI, 1.3–1.8)
- Đột quỵ thiếu máu não: HR 2.5 (95% CI, 1.7–3.7)
- Bệnh động mạch vành: HR 1.8 (95% CI, 1.3–2.5)
- Tiểu đường: HR 1.5 (95% CI, 1.1–2.1)
Đáng chú ý, nguy cơ đột quỵ thiếu máu não tăng gấp đôi, và nguy cơ bệnh động mạch và chuyển hóa cũng tăng đáng kể. Những mối liên quan này vẫn tồn tại sau khi điều chỉnh cho các biến số nhân khẩu học.
Figure 1. Risks of Multisystem Comorbidities After Traumatic Spinal Cord Injury in the Mass General Brigham (MGB) and University of California (UC) Cohorts.
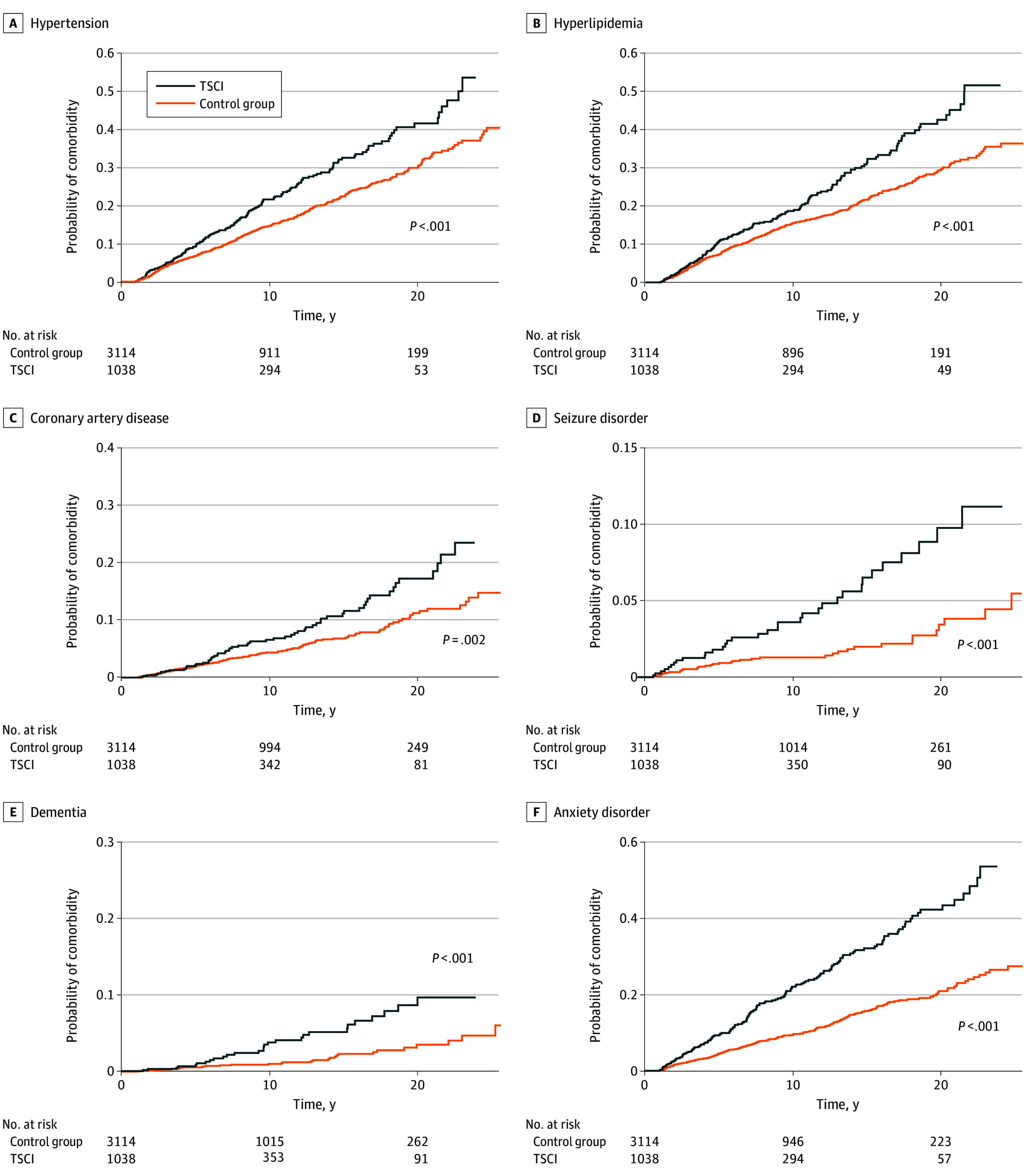
Figure 2. Kaplan-Meier Curves of Risk of Multisystem Comorbidities After Traumatic Spinal Cord Injury in the Mass General Brigham Cohort.
Figure 3. Risk of Multisystem Comorbidities After Traumatic Spinal Cord Injury, Stratified by Age in the Mass General Brigham Cohort.
Figure 4. Risk of Multisystem Comorbidities After Traumatic Spinal Cord Injury, Stratified by Injury Location in the Mass General Brigham Cohort.
Hậu quả thần kinh và tâm thần
Các bệnh nhân TSCI phát triển các chẩn đoán thần kinh mới ở tỷ lệ cao hơn so với đối chứng. Nghiên cứu báo cáo tỷ lệ mắc mới cao hơn về cơn động kinh và suy giảm nhận thức hoặc sa sút trí tuệ sau này. Các chẩn đoán tâm thần—bao gồm trầm cảm và lạm dụng chất—cũng phổ biến hơn sau chấn thương. Các kích thước hiệu ứng cụ thể cho các loại này được báo cáo và nhất quán giữa cả hai nhóm cơ sở.
Rối loạn nội tiết
Các rối loạn nội tiết xảy ra thường xuyên hơn sau TSCI. Mặc dù tỷ lệ sự kiện tuyệt đối thấp hơn so với các bệnh tim mạch, nhưng tỷ lệ nguy cơ cho một số chẩn đoán nội tiết và mối liên quan với tỷ lệ tử vong là đáng kể. Trên phân tích hồi quy logistic liên quan đến tỷ lệ tử vong, rối loạn chức năng tuyến yên sau chấn thương có OR 6.5 (95% CI, 1.1–33.2) và suy tuyến thượng thận OR 5.0 (95% CI, 1.04–20.2), mặc dù khoảng tin cậy rộng, phản ánh số lượng nhỏ hơn.
Những rủi ro theo nhóm tuổi
Nguy cơ tăng lên kéo dài đến người trẻ. Đối với bệnh nhân từ 18–45 tuổi, TSCI mang lại tỷ lệ mắc huyết áp cao (HR 1.5; 95% CI, 1.1–2.1) và đột quỵ thiếu máu não (HR 2.8; 95% CI, 1.3–6.0) cao hơn, cho thấy TSCI làm tăng nguy cơ mạch máu ngay cả ở nhóm dân số thường được coi là có nguy cơ thấp dựa trên độ tuổi.
Mối liên quan với tỷ lệ tử vong
Một số tình trạng sau chấn thương độc lập liên quan đến tỷ lệ tử vong do mọi nguyên nhân cao hơn. Các kết quả đáng chú ý bao gồm:
- Huyết áp cao: OR 2.0 (95% CI, 1.2–3.5)
- Rối loạn chức năng tuyến yên: OR 6.5 (95% CI, 1.1–33.2)
- Suy tuyến thượng thận: OR 5.0 (95% CI, 1.04–20.2)
- Trầm cảm: OR 2.9 (95% CI, 1.6–5.2)
- Lạm dụng chất: OR 4.0 (95% CI, 1.5–9.8)
- Cơn động kinh: OR 6.4 (95% CI, 2.7–14.5)
- Sa sút trí tuệ: OR 4.8 (95% CI, 2.0–11.6)
Những mối liên quan này cho thấy cả các biến chứng y tế đa hệ thống và các tình trạng tâm thần đều đóng góp vào việc giảm tuổi thọ sau TSCI.
Sự hợp lý sinh học và các cơ chế tiềm năng
Nhiều cơ chế đường dẫn hợp lý có thể liên kết TSCI với bệnh mãn tính đa hệ thống:
- Mất điều hòa tự động: Chấn thương tủy sống mức cao có thể ảnh hưởng đến kiểm soát giao cảm, tạo ra huyết áp không ổn định bao gồm mất điều hòa tự động—huyết áp cao kịch phát có thể khiến nguy cơ đột quỵ và tổn thương mạch máu tăng lên.
- Thiếu vận động và thay đổi thành phần cơ thể: Giảm di động thúc đẩy teo cơ, béo phì, đề kháng insulin và cấu trúc lipid gây xơ vữa.
- Viêm mãn tính: Chấn thương mô và tương tác thần kinh miễn dịch thay đổi có thể tạo ra môi trường viêm thúc đẩy xơ vữa.
- Mất cân bằng trục thần kinh nội tiết: Chấn thương tủy sống hoặc chấn thương não đồng thời có thể gây rối loạn trục hạ đồi-tuyến yên-tuyến thượng thận, giải thích rối loạn chức năng tuyến yên và suy tuyến thượng thận ở một số bệnh nhân.
- Yếu tố hành vi và tâm xã hội: Trầm cảm, đau, cô lập xã hội có thể làm xấu đi tuân thủ phòng ngừa thứ cấp, tăng sử dụng chất và làm tăng nguy cơ tim mạch.
Ý nghĩa lâm sàng: khuyến nghị có thể thực hiện
Dữ liệu này hỗ trợ việc chuyển đổi mô hình chăm sóc TSCI từ quản lý tập trung vào chấn thương sang theo dõi chủ động, dài hạn và đa ngành nhằm ngăn ngừa hoặc giảm nhẹ bệnh mãn tính đa hệ thống. Các bước thực tế bao gồm:
- Đánh giá rủi ro tim mạch sớm và liên tục (huyết áp, lipid, glucose) và điều chỉnh mạnh mẽ các yếu tố nguy cơ bằng liệu pháp theo hướng dẫn được điều chỉnh cho dân số SCI.
- Giáo dục và theo dõi mất điều hòa tự động ở chấn thương ngực và cổ cao và mục tiêu huyết áp cá nhân hóa.
- Đánh giá nội tiết thường xuyên khi có chỉ định lâm sàng (ví dụ, đánh giá chức năng tuyến yên hoặc các triệu chứng gợi ý suy cortisol), với ngưỡng thấp để chuyển chuyên khoa.
- Dịch vụ sức khỏe tâm thần và lạm dụng chất tích hợp trong các phòng khám SCI, với sàng lọc trầm cảm thường xuyên và tiếp cận với liệu pháp tâm lý và dược lý.
- Theo dõi cơn động kinh ở bệnh nhân có các yếu tố nguy cơ (chấn thương đầu đồng thời, các sự kiện mới không rõ nguyên nhân) và cân nhắc đánh giá nhận thức thần kinh nếu cần.
- Chương trình phục hồi chức năng và hoạt động thể chất có cấu trúc được điều chỉnh cho người khuyết tật để giảm nguy cơ chuyển hóa và bảo tồn khả năng vận động tim phổi.
Hạn chế và xem xét
Điểm mạnh của nghiên cứu bao gồm mẫu lớn, tái tạo đa trung tâm và loại trừ bệnh nhân có bệnh đồng mắc tiền sử để tập trung vào bệnh mới phát. Tuy nhiên, các hạn chế yêu cầu giải thích cẩn trọng:
- Thiết kế hồi cứu và phụ thuộc vào mã ICD dẫn đến khả năng phân loại sai và độ nhạy/độ đặc hiệu chẩn đoán biến thiên.
- Còn sót lại các yếu tố nhiễu—dữ liệu về hút thuốc, địa vị kinh tế-xã hội, sử dụng thuốc, mức độ và vị trí chấn thương, tiếp xúc phục hồi chức năng và các yếu tố lối sống có thể không đầy đủ hoặc vắng mặt trong EHRs.
- Mắc phải thiên lệch giám sát: Bệnh nhân TSCI có thể có tiếp xúc y tế thường xuyên hơn, tăng khả năng phát hiện chẩn đoán.
- Khoảng tin cậy rộng cho một số mối liên quan giữa nội tiết và tỷ lệ tử vong cho thấy số lượng sự kiện nhỏ trong các nhóm nhỏ và không chính xác.
- Tính tổng quát hóa bị hạn chế ở các dân số được điều trị trong các hệ thống y tế học thuật lớn ở Hoa Kỳ; bối cảnh cộng đồng và quốc tế có thể khác biệt.
Các khoảng trống nghiên cứu và hướng đi trong tương lai
Các ưu tiên chính bao gồm các nghiên cứu nhóm đối chứng triển vọng với đánh giá chuẩn hóa về đặc điểm chấn thương, chức năng tự động, các yếu tố nguy cơ hành vi chi tiết, các dấu hiệu sinh học của viêm và chuyển hóa, và kiểm tra nhận thức và nội tiết lặp lại. Các thử nghiệm can thiệp nên kiểm tra xem liệu phòng ngừa có mục tiêu (ví dụ, kiểm soát huyết áp mạnh mẽ, tập luyện phù hợp, thay thế nội tiết khi cần, hoặc chăm sóc sức khỏe tâm thần tích hợp) có giảm tỷ lệ mắc bệnh và tỷ lệ tử vong sau này hay không. Các nghiên cứu cơ chế ở người và tiền lâm sàng để phân tích các đường dẫn thần kinh miễn dịch và thần kinh nội tiết có thể thông tin cho các liệu pháp có mục tiêu.
Kết luận
Nghiên cứu EHR đa trung tâm của Mashlah et al. cho thấy TSCI có liên quan đến nguy cơ mắc bệnh tim mạch, thần kinh, tâm thần và nội tiết dài hạn đáng kể—và rằng một số tình trạng sau chấn thương mang lại nguy cơ tử vong cao hơn. Những kết quả này lập luận cho mô hình chăm sóc chủ động, đa ngành và hướng đến suốt đời cho người sống sót sau TSCI, với quản lý rủi ro tim mạch có hệ thống, theo dõi nội tiết, tích hợp sức khỏe tâm thần và các chiến lược phục hồi chức năng để giảm thiểu các kết quả bất lợi dài hạn.
Nguồn tài trợ và đăng ký thử nghiệm
Nguồn tài trợ, tuyên bố xung đột lợi ích và đăng ký thử nghiệm lâm sàng (nếu có) được báo cáo trong bản công bố gốc: Mashlah A, Marini S, Mills H, et al. JAMA Netw Open. 2025 Nov 3;8(11):e2541157. doi:10.1001/jamanetworkopen.2025.41157 IF: 9.7 Q1 .
Tài liệu tham khảo
Mashlah A, Marini S, Mills H, Yahya T, Radmanesh F, Chalif J, Zusman BE, Bernstock JD, Al Mansi MH, Grashow R, Abd-El-Barr MM, Zaidi HA, Lu Y, Salim A, Fahed AC, Manley GT, Halabi C, Digiorgio A, Zafonte R, Izzy S. Traumatic Spinal Cord Injury and Subsequent Risk of Developing Chronic Cardiovascular, Neurologic, Psychiatric, and Endocrine Disorders. JAMA Netw Open. 2025 Nov 3;8(11):e2541157. doi:10.1001/jamanetworkopen.2025.41157 IF: 9.7 Q1 . PMID: 41186949 IF: 9.7 Q1 ; PMCID: PMC12587198 IF: 9.7 Q1 .





