亮点
- 高质量的随机试验和队列分析显示,生物质烹饪产生的PM2.5或CO暴露与婴儿重症肺炎之间没有显著的纵向关联。
- HAPIN多国试验的证据表明,尽管使用液化石油气(LPG)炉灶大幅减少了PM2.5暴露,但婴儿重症肺炎的发病率并未改变。
- 与早期观察性研究相反,产前CO暴露与肺炎风险存在性别特异性关联,这可能表明复杂的暴露-反应动态,潜在地由婴儿肺功能受损介导。
- 一些干预措施中的暴露减少不足以及方法学异质性可能是观察到的健康结果差异的原因,强调了需要进行全面的暴露评估和机制理解。
背景
家庭空气污染(HAP)由于生物质燃料燃烧用于烹饪和取暖,影响全球约40%的人口,并被历史认为是儿科呼吸系统感染(尤其是肺炎)的关键环境风险因素。细颗粒物(PM2.5)和一氧化碳(CO)是在生物质不完全燃烧过程中产生的主要污染物。肺炎负担在广泛使用生物质燃料的低收入和中等收入国家仍然很高,推动了全球清洁烹饪干预措施(如液化石油气炉灶)的努力,以减少暴露并改善儿童健康结果。
尽管流行病学研究显示HAP与呼吸系统疾病之间存在关联,但由于潜在的混杂因素、暴露分类错误以及多样化的环境和社会人口背景,建立明确的因果关系,特别是对婴儿期重症肺炎的因果关系,仍然具有挑战性。最近的大规模随机对照试验(RCTs)和改进的暴露-反应分析提供了新的见解,需要进行系统综合以指导临床和公共卫生策略。
主要内容
时间发展和多国随机试验的证据
家庭空气污染干预网络(HAPIN)试验从2018年到2021年在危地马拉、印度、秘鲁和卢旺达进行,是最大的跨国RCT,比较了液化石油气(LPG)与生物质烹饪在怀孕和婴儿期对呼吸健康的影响(McCracken et al., 2025, JAMA Netw Open)。这项为期18个月的干预措施分发了LPG炉灶和燃料,并对孕妇及其婴儿进行了重复的24小时个人PM2.5和CO暴露测量。
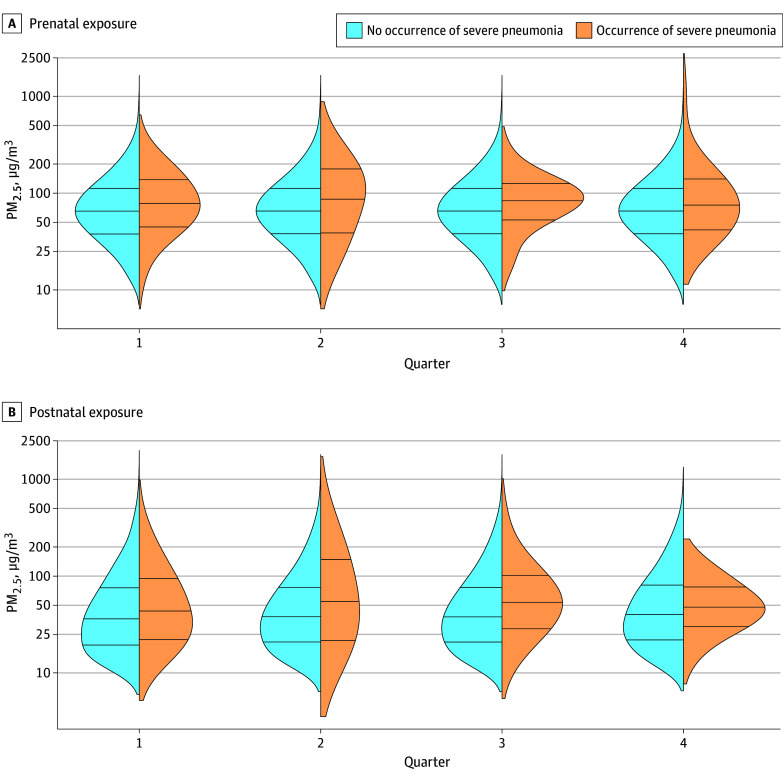
主要结局——婴儿第一年内的重症肺炎——严格定义为通过影像学确认的临床症状和通过脉搏血氧仪测量的低氧血症。在3061名婴儿中,尽管PM2.5暴露范围广泛(5.4–1182 µg/m³),但未观察到产前或产后PM2.5暴露水平与重症肺炎发病率之间有统计学显著关联,调整后的风险比接近1(产前RR 1.03,95% CI 0.94–1.13;产后RR 0.97,95% CI 0.87–1.09)。同样,CO暴露与肺炎风险无关。
Figure. Density Plots of Prenatal and Postnatal Exposures to Fine Particulate Matter With a Diameter of Less Than or Equal to 2.5 µm (PM2.5) by Infant-Quarter and Severe Pneumonia Status During Infancy.
在意向治疗分析中,高依从性使用LPG炉灶显著降低了婴儿PM2.5暴露中位数水平(LPG组为24.2 µg/m³,生物质组为66.0 µg/m³),但并未显著降低重症肺炎的发病率(发病率比0.96;98.75% CI, 0.64–1.44;P = 0.81)(McCracken et al., 2024, NEJM)。这些发现挑战了先前关于HAP从生物质烹饪导致的肺炎风险幅度的假设。
观察性和集群随机研究的证据:加纳背景
早期的加纳随机空气污染与健康研究(GRAPHS)提出了一些相互矛盾的证据。这项集群随机试验招募了1414名孕妇,并在出生前后反复测量个人CO暴露(Adetona et al., 2021, Chest)。该研究报告称,产前CO暴露与肺炎(每ppm增加的RR 1.10)和重症肺炎(RR 1.15)的风险之间存在适度的正相关,特别是在女婴中表现出性别特异性易感性。
然而,另一项评估改进的生物质炉灶和LPG干预措施的加纳集群RCT发现,医生诊断的重症肺炎或出生体重均无显著减少(Clark et al., 2021, BMJ Glob Health)。这种无效性可能与干预组的暴露水平仍高于WHO目标有关。
机制见解:产前HAP暴露与婴儿肺功能
产前HAP暴露可能损害婴儿肺部发育和功能,从而增加肺炎的易感性。GRAPHS的数据表明,产前CO暴露升高与30天时婴儿肺功能参数改变有关,包括呼吸频率增加和呼吸顺应性降低(McCracken et al., 2019, Am J Respir Crit Care Med)。这种生理紊乱可能从机制上增强肺炎风险。
这些发现为观察到的性别特异性效应提供了生物学基础,并强调了暴露时间和强度在呼吸健康结果中的重要性。
专家评论
来自多国RCT和观察队列数据的汇合提供了对生物质相关的HAP与婴儿重症肺炎关系的细致视角。最近发表的HAPIN试验设计稳健,包括广泛的个人暴露监测和严格的临床终点验证,其阴性结果尤为令人信服,表明先前的观察性关联可能受到混杂因素的影响,或由PM2.5和CO暴露以外的因素介导。
然而,潜在的局限性包括未测量的室内空气污染物或环境烟草烟雾的残余混杂因素、尽管有复杂监测但仍存在的暴露分类错误,以及宿主易感性和暴露模式的变化。此外,一些干预措施中实现的暴露减少程度可能不足以展示临床益处。
机制证据支持产前暴露可能扰乱肺部发育,这与观察到的流行病学模式一致,尤其是在女婴中。这种性别二态性脆弱性邀请进一步调查受HAP影响的分子和免疫途径。
临床上,这些发现需要谨慎解释。虽然推广清洁烹饪技术对于多种健康和环境原因仍然至关重要,但对肺炎风险减少的期望可能需要重新校准。更多关注整体环境控制、营养干预和疫苗接种策略可能在减少肺炎发病率和死亡率方面产生更实际的效益。
结论
新兴的高质量证据挑战了长期以来认为生物质烹饪产生的PM2.5和CO暴露是婴儿期重症肺炎的主要独立驱动因素的范式。尽管通过LPG干预大幅减少了污染,但随机数据显示肺炎发病率没有显著下降,与一些早期观察性和机制研究形成对比。
未来的研究应旨在:
- 阐明产前和产后HAP暴露与肺部发育、免疫功能和感染易感性之间的复杂路径。
- 开发和验证涵盖多种污染物和背景因素的更全面的暴露指标。
- 调查性别特异性生理反应和长期呼吸健康轨迹。
- 将干预试验与社会行为、营养和疫苗接种策略相结合,实现多因素肺炎预防。
总之,当前数据需要将婴儿肺炎预防的范式转变为超越单纯依赖减少生物质相关室内空气污染的多方面方法。
参考文献
- McCracken JP, McCollum ED, Steenland K, et al.; Household Air Pollution Intervention Network (HAPIN) Investigators. Exposure to Household Air Pollution From Biomass Cooking and Severe Pneumonia in Infants. JAMA Netw Open. 2025;8(10):e2538721. doi:10.1001/jamanetworkopen.2025.38721 .
- McCracken JP, McCollum ED, Clasen T, et al. Liquefied Petroleum Gas or Biomass Cooking and Severe Infant Pneumonia. N Engl J Med. 2024;390(1):32-43. doi:10.1056/NEJMoa2305681 .
- Adetona O, et al. Prenatal and Postnatal Household Air Pollution Exposures and Pneumonia Risk: Evidence From the Ghana Randomized Air Pollution and Health Study. Chest. 2021;160(5):1634-1644. doi:10.1016/j.chest.2021.06.080 .
- Clark ML, et al. A cluster randomised trial of cookstove interventions to improve infant health in Ghana. BMJ Glob Health. 2021;6(8):e005599. doi:10.1136/bmjgh-2021-005599 .
- McCracken JP, et al. Prenatal Household Air Pollution Is Associated with Impaired Infant Lung Function with Sex-Specific Effects. Am J Respir Crit Care Med. 2019;199(6):738-746. doi:10.1164/rccm.201804-0694OC .

